| Status ketersediaan: | |
|---|---|
| Kuantitas: | |
ATMP 50%
SINOBIO
29319090
Amino trimethylene phosphonic acid (ATMP), dengan CAS No. 6419-19-8, adalah bahan kimia pengolahan air premium yang direkayasa oleh SINOBIO, nama tepercaya dalam manufaktur bahan kimia industri. Sebagai anggota kunci dari keluarga asam organofosfonat, ATMP 50% diformulasikan untuk memberikan penghambatan skala yang luar biasa, perlindungan korosi, dan kinerja chelating, membuatnya sangat diperlukan untuk berbagai aplikasi industri.
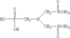
Dengan formula molekul N (Ch₂po₃h₂) ₃ dan berat molekul 299,05, larutan cair ini (model: ATMP 50%) memenuhi standar kualitas yang ketat, memastikan keandalan dan konsistensi di setiap batch. Diklasifikasikan di bawah UN 3265 8/pg III untuk transportasi dan penanganan yang aman, ini dirancang untuk mengoptimalkan efisiensi operasional dalam sistem air sambil memperpanjang umur peralatan industri.
ATMP 50% menonjol karena sifat kimianya yang unik, yang menjadikannya solusi serbaguna untuk tantangan pengolahan air yang kompleks:
Penghambatan Chelation & Skala Superior : Kemampuan chelating yang kuat menargetkan ion logam (misalnya kalsium, magnesium) dalam air, mencegah pembentukan skala - terutama kalsium karbonat, salah satu skala yang paling umum dan bermasalah dalam sistem industri.
Stabilitas kimia yang luar biasa : Tahan terhadap hidrolisis bahkan dalam kondisi air yang keras, ATMP 50% mempertahankan efektivitasnya pada berbagai suhu dan tingkat pH, memastikan kinerja jangka panjang.
Penghambatan Korosi yang Poten : Pada konsentrasi yang lebih tinggi, film ini membentuk film pelindung pada permukaan logam, peralatan pelindung dan pipa dari korosi di lingkungan yang agresif seperti pembangkit listrik termal dan kilang minyak.
Spesifikasi berikut menjamin kualitas dan kinerja SINOBIO ATMP 50%:
Barang | Standar |
Penampilan | Larutan berair kuning yang jernih dan tidak berwarna hingga pucat |
Kandungan asam aktif | 50,0% mnt |
Klorida (sebagai cl⁻) | 1,0% maks |
pH (larutan air 1%) | 2.0 maks |
Besi (Fe) | 20,0 mg/L maks |
Kepadatan (20 ° C) | 1,30 g/cm³ mnt |
ATMP 50% banyak digunakan di seluruh industri untuk manfaat multifungsi:
Di pembangkit listrik termal, kilang, dan fasilitas manufaktur, ATMP 50% mengontrol penumpukan skala di menara pendingin dan penukar panas, mengurangi biaya konsumsi energi dan pemeliharaan. Ini bekerja secara sinergis dengan asam organofosfonat lainnya, asam polikarboksilat, dan garam untuk membentuk formulasi pengolahan air alkali organik penuh, yang dapat disesuaikan dengan kondisi sistem yang beragam.
Untuk sistem injeksi air ladang minyak dan jaringan pipa, ATMP 50% menghambat korosi dan skala, memastikan aliran yang tidak terhalang dan melindungi infrastruktur mahal dari degradasi. Ini meminimalkan downtime dan memperpanjang umur operasional aset kritis.
Sebagai agen chelating berkinerja tinggi, ia menstabilkan solusi pewarna dengan mengurutkan ion logam, mencegah perubahan warna dan memastikan penyerapan pewarna yang seragam, sehingga meningkatkan kualitas produk dalam pembuatan tekstil.
ATMP 50% digunakan dalam proses pretreatment logam untuk menghilangkan oksida dan membentuk lapisan pelindung, meningkatkan adhesi untuk pelapis dan mencegah korosi pasca perawatan.
Dosis yang direkomendasikan : 5-20 mg/L untuk penghambatan skala umum; 20–80 mg/L untuk peningkatan perlindungan korosi.
Opsi Pengemasan : Tersedia dalam drum 250 kg (20 mt per 20'gp dengan palet) atau 1250 kg totes IBC (25 mt per 20 'gp). Kemasan khusus tersedia berdasarkan permintaan.
Penyimpanan : Simpan di area yang sejuk, kering, dan berventilasi dengan baik. Umur simpan adalah 1 tahun ketika disimpan dengan benar.
SINOBIO ATMP 50% (CAS 6419-19-8) lebih dari sekadar bahan kimia-ini adalah solusi yang dirancang untuk mengoptimalkan operasi industri, mengurangi biaya, dan memastikan keberlanjutan. Percaya pada keahlian SINOBIO untuk meningkatkan proses pengolahan air dan korosi Anda.


Amino trimethylene phosphonic acid (ATMP), dengan CAS No. 6419-19-8, adalah bahan kimia pengolahan air premium yang direkayasa oleh SINOBIO, nama tepercaya dalam manufaktur bahan kimia industri. Sebagai anggota kunci dari keluarga asam organofosfonat, ATMP 50% diformulasikan untuk memberikan penghambatan skala yang luar biasa, perlindungan korosi, dan kinerja chelating, membuatnya sangat diperlukan untuk berbagai aplikasi industri.
Dengan formula molekul N (Ch₂po₃h₂) ₃ dan berat molekul 299,05, larutan cair ini (model: ATMP 50%) memenuhi standar kualitas yang ketat, memastikan keandalan dan konsistensi di setiap batch. Diklasifikasikan di bawah UN 3265 8/pg III untuk transportasi dan penanganan yang aman, ini dirancang untuk mengoptimalkan efisiensi operasional dalam sistem air sambil memperpanjang umur peralatan industri.
ATMP 50% menonjol karena sifat kimianya yang unik, yang menjadikannya solusi serbaguna untuk tantangan pengolahan air yang kompleks:
Penghambatan Chelation & Skala Superior : Kemampuan chelating yang kuat menargetkan ion logam (misalnya kalsium, magnesium) dalam air, mencegah pembentukan skala - terutama kalsium karbonat, salah satu skala yang paling umum dan bermasalah dalam sistem industri.
Stabilitas kimia yang luar biasa : Tahan terhadap hidrolisis bahkan dalam kondisi air yang keras, ATMP 50% mempertahankan efektivitasnya pada berbagai suhu dan tingkat pH, memastikan kinerja jangka panjang.
Penghambatan Korosi yang Poten : Pada konsentrasi yang lebih tinggi, film ini membentuk film pelindung pada permukaan logam, peralatan pelindung dan pipa dari korosi di lingkungan yang agresif seperti pembangkit listrik termal dan kilang minyak.
Spesifikasi berikut menjamin kualitas dan kinerja SINOBIO ATMP 50%:
Barang | Standar |
Penampilan | Larutan berair kuning yang jernih dan tidak berwarna hingga pucat |
Kandungan asam aktif | 50,0% mnt |
Klorida (sebagai cl⁻) | 1,0% maks |
pH (larutan air 1%) | 2.0 maks |
Besi (Fe) | 20,0 mg/L maks |
Kepadatan (20 ° C) | 1,30 g/cm³ mnt |
ATMP 50% banyak digunakan di seluruh industri untuk manfaat multifungsi:
Di pembangkit listrik termal, kilang, dan fasilitas manufaktur, ATMP 50% mengontrol penumpukan skala di menara pendingin dan penukar panas, mengurangi biaya konsumsi energi dan pemeliharaan. Ini bekerja secara sinergis dengan asam organofosfonat lainnya, asam polikarboksilat, dan garam untuk membentuk formulasi pengolahan air alkali organik penuh, yang dapat disesuaikan dengan kondisi sistem yang beragam.
Untuk sistem injeksi air ladang minyak dan jaringan pipa, ATMP 50% menghambat korosi dan skala, memastikan aliran yang tidak terhalang dan melindungi infrastruktur mahal dari degradasi. Ini meminimalkan downtime dan memperpanjang umur operasional aset kritis.
Sebagai agen chelating berkinerja tinggi, ia menstabilkan solusi pewarna dengan mengurutkan ion logam, mencegah perubahan warna dan memastikan penyerapan pewarna yang seragam, sehingga meningkatkan kualitas produk dalam pembuatan tekstil.
ATMP 50% digunakan dalam proses pretreatment logam untuk menghilangkan oksida dan membentuk lapisan pelindung, meningkatkan adhesi untuk pelapis dan mencegah korosi pasca perawatan.
Dosis yang direkomendasikan : 5-20 mg/L untuk penghambatan skala umum; 20–80 mg/L untuk peningkatan perlindungan korosi.
Opsi Pengemasan : Tersedia dalam drum 250 kg (20 mt per 20'gp dengan palet) atau 1250 kg totes IBC (25 mt per 20 'gp). Kemasan khusus tersedia berdasarkan permintaan.
Penyimpanan : Simpan di area yang sejuk, kering, dan berventilasi dengan baik. Umur simpan adalah 1 tahun ketika disimpan dengan benar.
SINOBIO ATMP 50% (CAS 6419-19-8) lebih dari sekadar bahan kimia-ini adalah solusi yang dirancang untuk mengoptimalkan operasi industri, mengurangi biaya, dan memastikan keberlanjutan. Percaya pada keahlian SINOBIO untuk meningkatkan proses pengolahan air dan korosi Anda.

